有机肥料杂草种子活性的测定方法及步骤
2021-05-27 10:22:28      来源:【朋检农业科技】
新修订有机肥料标准NY/T 525-2021,添加了杂草种子活性的指标要求,其测定方法及步骤如下:
杂草种子活性的测定
1. 主要仪器和试剂
光照培养箱、托盘、纱布、水。
2. 试验步骤
称取有机肥样品(鲜样)3000g(精确到0.1g),记录样品总重m,均匀地铺在托盘中,厚度约为20mm,在30℃条件下的光照培养箱(光照强度和湿度适中)中培养21天。在试验期间,每2-3天补充水分一次,以保持样品潮湿,补水采用喷壶喷水方式,将样品表面喷湿即可。为避免托盘中样品被污染,可以在样品上覆盖薄绒布或纱布。每次补水时观察是否有种子发芽并做记录,21天后统计试验期间发芽种子总株树N。
3. 分析结果的表述
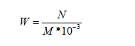
杂草种子活性以W表示,按公式计算:
	
 
公式中:
W——表示有机肥料中杂草种子活性;
N——表示有机肥料中发芽种子总株数;
M——表示称取的有机肥质量。
4. 允许差
取平行测定结果的算术平均值为最终分析结果,保留一位小数。平行测定结果的绝对差值不大于0.7株/kg。

