有机肥料机械杂质的质量分数的测定方法及步骤
2021-05-24 09:53:39      来源:【朋检农业科技】
新修订有机肥料标准NY/T 525-2021,添加了机械杂质的指标要求,质量分数≤0.5%,其机械杂质质量分数的测定方法如下
1. 主要仪器
天平,筛子等。
2. 分析步骤
取风干试样500g(精确到0.1g),记录样品总重m1,过4mm筛子,将筛上物用目选法挑出其中的石块、塑料、玻璃、金属等机械杂质并称重,记录为m2,计算样品中机械杂质的质量分数w(%)。
3. 分析结果的表述
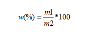
机械杂质含量以质量分数w(%)表示,按公式计算:
	
 
公式中:
w(%)——表示有机肥料中机械杂质的质量分数;
m2——表示有机肥料中机械杂质的质量,单位为克(g);
m1——表示有机肥料风干试样的总质量,单位为克(g)。
4. 允许差
取平行分析结果的算术平均值为最终测定结果,保留到小数点后一位。平行测定结果的绝对差值应符合表要求。

